Lei nº 1.696, de 12 de dezembro de 2007
Alterado(a) pelo(a)
Lei nº 1.945, de 02 de abril de 2014
Vigência a partir de 2 de Abril de 2014.
Dada por Lei nº 1.945, de 02 de abril de 2014
INTERVENIENTES:
Dada por Lei nº 1.945, de 02 de abril de 2014
Art. 1º.
Fica o Poder Executivo autorizado a celebrar Convênio de Cooperação com o Estado do Rio Grande do Sul, em consonância com o art. 241 Constituição Federal, o qual definirá a forma da atuação associada das questões afetas ao saneamento básico do Município, conforme minuta anexa.
Art. 2º.
Fica o Poder Executivo autorizado a celebrar Contrato de Programa com a CORSAN, nos termos da Lei Federal nº 11.107, de 06/04/2005, delegando a prestação de serviços de abastecimento de água e esgotamento sanitário, compreendendo a execução de obras de infra-estrutura e atividades afins, conforme minuta padrão anexa.
Art. 3º.
Fica o município de Agudo autorizado a firmar Convênio com vistas a delegar à Agência Estadual de Regulação dos Serviços Públicos Delegados do Rio Grande do Sul - AGERGS a regulação dos serviços públicos delegados de abastecimento de água e de esgotamento sanitário.
- Referência Simples
- •
- 23 Abr 2019
Citado em:- •
- Referência Simples
- •
- 18 Nov 2021
Citado em:
Art. 4º.
Poderão ser delegadas, mediante o Convênio de que trata o art. 3º, as seguintes atribuições relativas aos serviços públicos de abastecimento de água potável e esgotamento sanitário:
- Referência Simples
- •
- 18 Nov 2021
Vide:
a)
regulamentar, no âmbito das competências inerentes à regulação, o serviço delegado, sem prejuízo e com observância da legislação federal, estadual e municipal aplicável;
b)
fiscalizar a prestação do serviço, nos termos definidos nos Planos de Trabalho ajustados anualmente entre as partes, que fará parte integrante do Convênio e do contrato de programa;
- Referência Simples
- •
- 18 Nov 2021
Citado em:
c)
homologar reajustes e realizar revisões tarifárias, na forma da lei, das normas pertinentes e do contrato de programa;
d)
fazer cumprir as disposições regulamentares do serviço, bem como as cláusulas do contrato de programa;
e)
zelar pela qualidade do serviço, na forma da lei e do contrato de programa, inclusive mediando no exame dos planos de investimentos a serem apresentados pela CORSAN do serviço;
f)
atuar como instância recursal no que concerne à aplicação das penalidades regulamentares e contratuais por parte do Município;
g)
estimular a universalização e o aumento da qualidade e da produtividade dos serviços e a preservação do meio ambiente e dos recursos naturais, de acordo com o que for definido no Plano de Trabalho, entre as partes, que será parte integrante do convênio;
h)
estimular a participação e organização de usuários para a defesa de interesses relativos ao serviço, de acordo com o que for definido em Plano de Trabalho, referido na alínea b;
- Referência Simples
- •
- 18 Nov 2021
Vide:
i)
mediar e arbitrar, no âmbito administrativo, eventuais conflitos decorrentes da aplicação das disposições legais e contratuais;
j)
homologar os editais e o Contrato de Programa, objetivando a delegação dos serviços públicos de abastecimento de água potável e esgoto sanitário;
k)
requisitar aos delegatários as informações necessárias ao exercício da função regulatória;
l)
elaborar estudos e projetos com vistas ao aperfeiçoamento do serviço público delegado e da busca da modicidade tarifária;
m)
zelar pela manutenção do equilíbrio econômico financeiro do sistema.
I –
regulamentar, no âmbito das competências inerentes à regulação, o serviço delegado, sem prejuízo e com observância da legislação federal, estadual e municipal aplicável;
Inclusão feita pelo Art. 1º. - Lei nº 1.945, de 02 de abril de 2014.
II –
fiscalizar a prestação do serviço, nos termos definidos nos Planos de Trabalho ajustados anualmente entre as partes, que fará parte integrante do Convênio e do contrato de programa;
Inclusão feita pelo Art. 1º. - Lei nº 1.945, de 02 de abril de 2014.
- Referência Simples
- •
- 18 Nov 2021
Citado em:
III –
homologar reajustes e realizar revisões tarifárias, na forma da lei, das normas pertinentes e do contrato de programa;
Inclusão feita pelo Art. 1º. - Lei nº 1.945, de 02 de abril de 2014.
IV –
fazer cumprir as disposições regulamentares do serviço, bem como as cláusulas do contrato de programa;
Inclusão feita pelo Art. 1º. - Lei nº 1.945, de 02 de abril de 2014.
V –
zelar pela qualidade do serviço, na forma da lei e do contrato de programa, inclusive mediando no exame dos planos de investimentos a serem apresentados pela CORSAN do serviço;
Inclusão feita pelo Art. 1º. - Lei nº 1.945, de 02 de abril de 2014.
VI –
atuar como instância recursal no que concerne à aplicação das penalidades regulamentares e contratuais aplicadas pelo Município;
Inclusão feita pelo Art. 1º. - Lei nº 1.945, de 02 de abril de 2014.
VII –
estimular a universalização e o aumento da qualidade e da produtividade dos serviços e a preservação do meio ambiente e dos recursos naturais, de acordo com o que for definido no Plano de Trabalho, entre as partes, que será parte integrante do convênio;
Inclusão feita pelo Art. 1º. - Lei nº 1.945, de 02 de abril de 2014.
VIII –
estimular a participação e organização de usuários para a defesa de interesses relativos ao serviço, de acordo com o que for definido em Plano de Trabalho, referido no inciso II;
Inclusão feita pelo Art. 1º. - Lei nº 1.945, de 02 de abril de 2014.
- Referência Simples
- •
- 18 Nov 2021
Vide:
IX –
mediar e arbitrar, no âmbito administrativo, eventuais conflitos decorrentes da aplicação das disposições legais e contratuais;
Inclusão feita pelo Art. 1º. - Lei nº 1.945, de 02 de abril de 2014.
X –
homologar os editais e o Contrato de Programa, objetivando a delegação dos serviços públicos de abastecimento de água potável e esgoto sanitário;
Inclusão feita pelo Art. 1º. - Lei nº 1.945, de 02 de abril de 2014.
XI –
requisitar aos delegatários as informações necessárias ao exercício da função regulatória;
Inclusão feita pelo Art. 1º. - Lei nº 1.945, de 02 de abril de 2014.
XII –
elaborar estudos e projetos com vistas ao aperfeiçoamento do serviço público delegado e da busca da modicidade tarifária;
Inclusão feita pelo Art. 1º. - Lei nº 1.945, de 02 de abril de 2014.
XIII –
zelar pela manutenção do equilíbrio econômico financeiro do sistema;
Inclusão feita pelo Art. 1º. - Lei nº 1.945, de 02 de abril de 2014.
XIV –
aplicar sanções regulatórias, conforme Resolução expedida pela AGERGS.
Inclusão feita pelo Art. 1º. - Lei nº 1.945, de 02 de abril de 2014.
Art. 5º.
Os recursos necessários à execução dos serviços de regulação, delegados a AGERGS mediante o Convênio de que trata o art. 3° supra, serão advindos da Taxa de Fiscalização e Controle dos Serviços Públicos Delegados – TAFIC, na forma da Lei Estadual n° 11.863/02 e Decreto Estadual n° 42.081/02, cujo pagamento é de responsabilidade da CORSAN.
- Referência Simples
- •
- 23 Abr 2019
Vide:
Art. 6º.
O Município exigirá a ligação obrigatória de toda construção e prédios considerados habitáveis, situados em logradouros que disponham dos serviços, às redes públicas de abastecimento de água e de coleta de esgoto, excetuando-se da obrigatoriedade prevista apenas as situações de impossibilidade técnica, que deverão ser justificadas perante os órgãos competentes, sendo que as ligações correrão às expensas dos usuários, nos termos da legislação municipal, do art. 18 da Lei Estadual nº 6.503/72 e do art. 137 da Lei Estadual nº 11.520/00.
Art. 7º.
Esta Lei entra em vigor na data de sua publicação.
O ESTADO DO RIO GRANDE DO SUL, pessoa jurídica de direito público, com sede na Rua Borges de Medeiros, n.º 1501, 3º andar, inscrita no CNPJ sob nº 87.958.641/0001-31, neste ato representada pela Governadora do Estado YEDA CRUSIUS, doravante denominado ESTADO e o MUNICÍPIO DE AGUDO, pessoa jurídica de direito público, com sede na Av.Tiradentes, n.º 1625, inscrito no CNPJ sob n.º 87.531.976/0001-79, neste ato representado pelo Prefeito Municipal, ARI ALVES DA ANUNCIAÇÃO, doravante denominado MUNICÍPIO, em consonância com a Lei Municipal n.º _______________ , celebram o presente CONVÊNIO DE COOPERAÇÃO sujeitando-se os partícipes às disposições contidas, no que couber, na Lei n.º 8.666, de 21 de junho de 1993 e suas alterações e reger-se-á pelas seguintes cláusulas e condições:
DO OBJETO
CLÁUSULA PRIMEIRA – O presente Convênio de Cooperação tem por escopo definir a forma de atuação associada do Estado do Rio Grande do Sul e do município de AGUDO, nas questões afetas ao saneamento básico, na forma do art. 241 da Constituição Federal.
PARÁGRAFO ÚNICO – A atuação do ESTADO e do MUNICÍPIO objetivará a universalização dos serviços de abastecimento de água e de esgotamento sanitário, a redução das desigualdades regionais, a melhoria da qualidade dos serviços e a modicidade das tarifas, e será regida pelo disposto na Constituição do Estado do Rio Grande do Sul, na Lei Estadual n.º 12.037/2003, que estabelece a Política Estadual de Saneamento, no que tange ao Saneamento Básico, pela Lei Estadual n.º 11.075/1998, que institui o Código Estadual de Qualidade dos serviços Públicos, e pela legislação específica vigente.
DAS OBRIGAÇÕES DOS PARTÍCIPES
CLÁUSULA SEGUNDA – O ESTADO assume a responsabilidade de atuar no planejamento, na regulação e na prestação dos serviços, nos termos de instrumentos específicos, observado o que segue:
I – o planejamento ficará ao encargo da Secretaria de Habitação, Saneamento e Desenvolvimento Urbano e, no que tange aos investimentos necessários, visando atender os objetivos do Convênio de Cooperação e a definição de prioridades na aplicação dos recursos disponíveis, será realizado de forma integrada e de âmbito regional, nos termos da Política Estadual de Saneamento e demais instrumentos legais e contratuais, com a devida participação do MUNICÍPIO.
II - a regulação, inclusive tarifária, ficará ao encargo da Agência Estadual de Regulação dos Serviços Públicos Delegados do Rio Grande do Sul – AGERGS, nos termos da Lei Estadual n.º 10.931, de 09/01/1997 e alterações posteriores e instrumento de delegação celebrado entre a Agência e o MUNICÍPIO.
III – a prestação dos serviços de abastecimento de água e esgotamento sanitário será de competência da Companhia Riograndense de Saneamento - CORSAN, entidade da Administração Indireta do Estado, assim como a execução de obras de infra-estrutura e outras atividades afins, em decorrência de relação contratual que deverá ser regida por contrato de programa a ser celebrado entre esta e o MUNICÍPIO, nos termos da Lei Federal n.º 11.107, de 06/04/2005.
PARÁGRAFO ÚNICO – A contratação da CORSAN observará o procedimento de dispensa de licitação, nos termos do inciso XXVI, do art. 24 e art. 26 da Lei Federal nº 8.666/93, sendo que cumprirá ao MUNICÍPIO a observância dos requisitos legais para o processo de contratação direta.
CLÁUSULA TERCEIRA – O MUNICÍPIO, sem prejuízo de suas competências, assume às seguintes obrigações:
I - aderir à Política Estadual de Saneamento;
II delegar a regulação dos serviços à AGERGS, nos termos da legislação municipal e de instrumento específico;
III – celebrar contrato de programa com a CORSAN, nos termos do instrumento anexo.
DOS RECURSOS FINANCEIROS
CLÁUSULA QUARTA – Os recursos financeiros necessários para a execução das ações decorrentes da cooperação autorizada pelo presente CONVÊNIO serão definidos nos instrumentos correspondentes.
DA RESCISÃO
CLÁUSULA QUINTA – O presente convênio será rescindido, total ou parcialmente, no caso de:
I – Rescisão do convênio celebrado com a AGERGS;
II – Extinção do contrato de programa celebrado com a CORSAN.
III – Inadimplência de quaisquer de suas cláusulas e condições.
DA VIGÊNCIA
CLÁUSULA SEXTA – O presente convênio terá vigência de 5 (cinco) anos, a contar de sua assinatura, podendo ser renovado.
DO FORO
CLÁUSULA SÉTIMA – As partes elegem o foro da Comarca de Porto Alegre para dirimir quaisquer questões oriundas do presente convênio.
E, por estarem assim justas e pactuadas, as partes firmaram o presente convênio em 5 (cinco) vias de igual forma e teor.
Agudo, ..............
| MARCO AURÉLIO SOARES ALBA Sec. Habitação, Saneamento e Desenvolvimento Urbano | ARI ALVES DA ANUNCIAÇÃO Prefeito Municipal |
Anexo
CONTRATO DE PROGRAMA PARA PRESTAÇÃO DE SERVIÇOS DE ABASTECIMENTO DE ÁGUA E ESGOTAMENTO SANITÁRIO
Pelo presente instrumento de contrato, de um lado, a COMPANHIA RIOGRANDENSE DE SANEAMENTO - CORSAN, sociedade de economia mista inscrita no CNPJ sob o nº 92.802.784/0001-90, com sede em Porto Alegre, na Rua Caldas Júnior nº 120, 18º andar, neste ato representada, na forma estatutária, por seu Diretor-Presidente, Sr. Mário Rache Freitas e por seu Diretor de Operações, Sr. Alfredo Arthur Dorn, doravante denominada CORSAN, e de outro lado, o MUNICÍPIO de AGUDO, com sede na Av.Tiradentes, nº 1625, inscrito no CNPJ sob o nº 87.531.976/0001-79, neste ato representado pelo Prefeito Municipal, Sr. ARI ALVES DA ANUNCIAÇÃO, doravante denominado MUNICÍPIO, têm entre si, justa e contratada a prestação de serviços relativos à exploração, execução de obras, ampliações e melhorias dos serviços de abastecimento de água e de coleta, transporte, tratamento e destino final de esgotos sanitários na área urbana do município, mediante as seguintes cláusulas e condições, observada a legislação aplicável à matéria:
DA LEGISLAÇÃO APLICÁVEL
CLÁUSULA PRIMEIRA – Aplicam-se ao presente contrato as disposições da legislação federal e municipal de licitações e de concessões dos serviços públicos de saneamento, a Lei Federal n.º 8.666/93, a Lei Estadual n.º 10.931/97 e as respectivas leis municipais autorizativas da delegação à AGERGS.
CLÁUSULA SEGUNDA – O presente contrato é celebrado nos termos da Lei Autorizativa Municipal nº........................., de .............. de.................... de 200.., com dispensa de licitação, com fundamento no art. 24, inciso XXVI, da Lei Federal nº 8.666/93, observados os procedimentos previstos no art. 26 da mesma lei.
DAS DEFINIÇÕES
CLÁUSULA TERCEIRA – Para os efeitos deste contrato, considera-se:
I – Sistema - o conjunto de todos os recursos, bens e serviços, necessários para a realização de objetivos de interesse comum, visando à universalização da prestação dos serviços de abastecimento de água e de esgotamento sanitário no âmbito de atuação da CORSAN, objeto de todos os contratos de programa celebrados entre os Municípios e a CORSAN.
II – Serviços – prestação dos serviços públicos de abastecimento de água e esgotamento sanitário.
III – Plano Plurianual de Investimentos no Sistema – conjunto de obras e serviços a serem realizados de acordo com o montante de recursos financeiros previstos por períodos de cinco anos, a serem investidos no Sistema.
IV – Meta de Investimentos de Longo Prazo – É o montante de recursos financeiros a ser investido no Sistema ao longo do período de duração do Contrato, com revisões qüinqüenais.
DO OBJETO
CLÁUSULA QUARTA - O MUNICÍPIO outorga à CORSAN a prestação dos serviços de abastecimento de água e esgotamento sanitário, compreendendo a exploração, execução de obras, ampliações e melhorias, com a obrigação de implantar, fazer, ampliar, melhorar, explorar e administrar, com exclusividade, os serviços de abastecimento de água potável e esgoto sanitário, na área urbana e áreas contínuas, incluindo a captação, adução de água bruta, tratamento, adução de água tratada, distribuição e medição do consumo de água, bem como a coleta, transporte, tratamento e destino final de esgoto, o faturamento e entrega de contas de água e esgoto, sua cobrança e arrecadação, atendimento ao público usuário dos sistemas, controle de qualidade da água e cadastro de consumidores, atendidos os princípios da conveniência social, ambiental, técnica e econômica e, ainda, a Política Estadual de Saneamento.
Subcláusula Primeira - O MUNICÍPIO transfere à CORSAN, o direito e prerrogativa de cadastrar e conectar os usuários do Sistema de Abastecimento de Água e de Esgotamento Sanitário, de acordo com o estipulado no Regulamento dos Serviços de Água e Esgoto – RSAE, realizando também, a CORSAN, a cobrança pelos serviços prestados, sempre com base no Sistema Tarifário vigente.
Subcláusula Segunda – Os investimentos em esgotamento sanitário serão efetivados respeitada a viabilidade econômico-financeira do Sistema e a obtenção de recursos financeiros necessários a sua execução, obedecidas as bases estabelecidas pela Meta de Investimentos de Longo Prazo.
DA ÁREA DA PRESTAÇÃO DOS SERVIÇOS
CLÁUSULA QUINTA – A delegação dos serviços ora outorgados abrangerá a área urbana e áreas rurais contínuas à zona urbana.
Subcláusula Única – A área de atuação poderá, também, contemplar aglomerados urbanos da área rural, nos termos definidos em aditivo contratual.
DO PRAZO CONTRATUAL
CLÁUSULA SEXTA - O Contrato vigorará pelo prazo de 25 (vinte e cinco) anos, a contar da data da assinatura deste Contrato.
CLÁUSULA SÉTIMA - O presente Contrato poderá ser prorrogado por igual período de 25 (vinte e cinco) anos, por intermédio de Termo Aditivo, mediante manifestação expressa das partes com 01 (um) ano de antecedência.
DO MODO, FORMA E CONDIÇÕES DE PRESTAÇÃO DO SERVIÇO
CLÁUSULA OITAVA – Na prestação dos serviços, a CORSAN deverá:
I – estabelecer através de negociação com o MUNICÍPIO as ações necessárias, definindo prioridades, a serem consideradas para o estabelecimento do Plano Plurianual de Investimentos no Sistema;
II – operar e manter os serviços de abastecimento de água potável, incluindo a captação, bombeamento, tratamento, adução e distribuição da água, medição do consumo e o controle da qualidade da água, nos termos definidos por Estudo de Concepção e Viabilidade Econômica, a ser elaborado no prazo de ate 01 (um) ano, a contar da assinatura deste contrato; ( para o caso de novas contratações )
III - operar e manter os serviços de esgotamento sanitário, incluindo a coleta, transporte, tratamento e destino final do esgoto, nos termos definidos por Estudo de Concepção e Viabilidade Econômica, a ser elaborado no prazo de até 01 (um) ano, a contar da assinatura deste contrato;( para o caso de novas contratações )
IV - executar direta ou indiretamente estudos, projetos, obras e serviços, objetivando o adequado funcionamento dos serviços e o pleno atendimento dos usuários, observados os limites previstos na Meta de Investimentos de Longo Prazo, nos termos definidos por Estudo de Concepção e Viabilidade Econômica, a ser elaborado no prazo de ate 01 (um) ano, a contar da assinatura deste contrato; ( para o caso de novas contratações )
V - equacionar e solucionar, de forma satisfatória, eventuais problemas no funcionamento dos serviços, de acordo com o regulamento dos serviços;
VI - melhorar o nível de qualidade dos serviços, de acordo com a legislação atual e superveniente;
VII – garantir a continuidade dos serviços;
VIII - atender ao crescimento vegetativo populacional, promovendo as ampliações necessárias, de acordo com os objetivos e normas gerais dos planos oficiais de saneamento;
IX - adotar tecnologia adequada e empregar materiais, equipamentos, instalações e métodos operativos que, atendidas as normas técnicas pertinentes, garantam a prestação de serviço adequado ao pleno atendimento dos usuários;
X – executar ações visando à manutenção e conservação dos equipamentos e das instalações;
XI – programar e informar ao MUNICÍPIO, por escrito, as condições técnicas e financeiras, o prazo de início e de conclusão das obras.
CLÁUSULA NONA - Os serviços somente poderão ser interrompidos em situação de emergência ou após prévio aviso, quando ocorrer:
I - motivo de ordem técnica ou de segurança das instalações;
II - por inadimplemento do usuário, considerado o interesse da coletividade;
III - irregularidades praticadas pelo usuário, inadequação de suas instalações, observada a legislação específica e previstas no Regulamento da Prestação dos Serviços, em anexo.
Subcláusula Única – Considera-se situação de emergência também as situações de calamidade publica, caso fortuito ou força maior.
DOS CRITÉRIOS, INDICADORES, FÓRMULAS E PARÂMETROS DEFINIDORES DA QUALIDADE DO SERVIÇO
CLÁUSULA DÉCIMA – A qualidade dos serviços será aferida por meio dos indicadores definidos no Anexo I deste contrato e demais normas regulamentares.
Subcláusula Primeira – A CORSAN deverá apresentar relatórios anuais de medição dos indicadores referentes a cada contrato de prestação de serviços de abastecimento de água ou de esgotamento sanitário, integrantes do Sistema.
Subcláusula Segunda – A CORSAN devera apresentar relatórios anuais de medição dos valores médios dos indicadores de todo o Sistema, relativos ao seu desempenho.
Subcláusula Terceira – As metas dos indicadores estabelecidas por meio de resolução da AGERGS, em conformidade com a Lei Estadual no 11.075/98, observados os parâmetros definidos pelo Contrato de Gestão do Governo do Estado.
Subcláusula Quarta – Os relatórios com os resultados dos indicadores devem ser encaminhados à AGERGS, anualmente, até 31 de março do ano subseqüente ao do exercício a que se referirem.
Subcláusula Quinta – Os indicadores de qualidade serão revistos nas mesmas datas das revisões tarifárias por comissão instituída para este fim, sendo composta por servidores da CORSAN, da AGERGS e representantes dos municípios.
CLÁUSULA DÉCIMA PRIMEIRA – O cumprimento das normas relativas à qualidade dos serviços, estabelecidas neste contrato e demais disposições regulamentares, será aferido pelo MUNICÍPIO e pela AGERGS anualmente.
Subcláusula Única – Os resultados da verificação prevista nesta cláusula serão amplamente divulgados na rede mundial de computadores.
DA POLÍTICA TARIFÁRIA
PREÇO DO SERVIÇO
CLÁUSULA DÉCIMA SEGUNDA – Pela prestação dos serviços que lhe são delegados por este Contrato, a CORSAN cobrará as tarifas discriminadas na Planilha da Estrutura Tarifária do Sistema (Anexo II), sendo implementadas pela CORSAN, de forma universal, em todos os MUNICÍPIOS integrantes do Sistema.
Subcláusula Primeira - A Estrutura Tarifária do Sistema deve cobrir os custos operacionais eficientes, segundo o nível de qualidade dos serviços ofertados e assegurar a obtenção de um retorno justo e adequado dos investimentos e ainda a necessária provisão das depreciações do Sistema.
Subcláusula Segunda – Para entrarem em vigor e serem cobradas dos usuários, as tarifas e suas alterações deverão ser homologadas pela AGERGS.
DO REAJUSTE TARIFÁRIO
CLÁUSULA DÉCIMA TERCEIRA – Os valores das tarifas serão reajustados em conformidade com as seguintes condições:
I – o reajuste ocorrerá sempre em 1o de junho de cada ano e será aplicado no faturamento da competência Junho;
II – os reajustes serão concedidos pelo índice setorial, apurado em relação ao período anual de maio a abril.
DA REVISÃO TARIFÁRIA
CLÁUSULA DÉCIMA QUARTA – A AGERGS, de acordo com o previsto nesta cláusula, procederá as revisões dos valores das tarifas, considerando as alterações na estrutura de custos do Sistema, os estímulos à eficiência e à modicidade das tarifas.
Subcláusula Primeira - As revisões tarifárias serão realizadas a cada cinco anos, sempre no mês de junho.
Subcláusula Segunda – No ano em que ocorrer revisão dos valores da tarifa, o reajuste previsto na cláusula décima terceira será substituído pela revisão.
Subcláusula Terceira - Os pedidos de revisões ordinárias das tarifas, acompanhados de todos os elementos e informações necessárias, serão encaminhados pela CORSAN à AGERGS, com pelo menos 90 dias de antecedência à data de sua vigência, a qual procederá aos trâmites para sua avaliação e aprovação ou denegação, integral ou parcial.
Subcláusula Quarta – Por sugestão das partes poderá ser realizada a readequação da estrutura tarifária.
DA REVISÃO TARIFÁRIA EXTRAORDINÁRIA
CLÁUSULA DÉCIMA QUINTA – As partes reconhecem que as tarifas indicadas na Planilha de Estrutura Tarifária (Anexo II), em conjunto com as regras de reajuste e revisão descritas nas cláusulas anteriores, serão suficientes para a adequada prestação dos serviços concedidos e a manutenção do equilíbrio econômico-financeiro do Sistema.
Subcláusula Única - Sempre que forem atendidas as condições do Sistema, considera-se mantido seu equilíbrio econômico-financeiro.
CLÁUSULA DÉCIMA SEXTA - Sem prejuízo dos reajustes e revisões a que se referem as cláusulas anteriores, caso haja alterações significativas nos custos da CORSAN, por solicitação desta ou das entidades de representação oficial dos Municípios, devidamente comprovada por documentos encaminhados ao ente regulador, a AGERGS poderá, a qualquer tempo, proceder à revisão das tarifas, visando manter o equilíbrio econômico-financeiro do Sistema, nas seguintes hipóteses:
I - quando houver necessidade de alterações significativas nas metas de investimentos, previstas no Plano Plurianual de Investimentos no Sistema, ou para atender demandas extraordinárias que afetem a estrutura tarifária, acarretando variações acima de 2 % ( dois por cento ), negativas ou positivas, dos valores das tarifas dos serviços necessárias para a manutenção do equilíbrio econômico-financeiro do Sistema;
II - quando houver a extinção do contrato por encampação, caducidade, rescisão, anulação, referentes aos municípios integrantes do Sistema e extinção da empresa CORSAN;
III - em decorrência de fatos extraordinários fora do controle da CORSAN ou do MUNICÍPIO, em razão de:
a) atos da natureza que afetem significativamente os custos da prestação dos serviços;
b) alterações na política tributária ou fiscal;
c) em decorrência de decisões judiciais que repercutam, direta ou indiretamente, nos custos de prestação dos serviços concedidos provocando variações positivas ou negativas superiores a 2 % (dois por cento);
d) ocorrência de outros fatos extraordinários admitidos e reconhecidos pelas partes que afetem significativamente os custos da prestação dos serviços.
e) extinção do contrato de algum dos municípios cuja receita anual seja equivalente a mais de 2 % do total do Sistema;
f) ingresso de município ou grupo de municípios cujo somatório da receita anual seja superior a 2 % do total do Sistema.
CLÁUSULA DÉCIMA SÉTIMA – As fontes provenientes de receitas alternativas, complementares, acessórias ou de projetos associados, com ou sem exclusividade, com vistas a favorecer a modicidade das tarifas, serão obrigatoriamente consideradas para a aferição do equilíbrio econômico-financeiro do Sistema.
CLÁUSULA DÉCIMA OITAVA - Na exploração do serviço público objeto deste Contrato, a CORSAN não poderá dispensar tratamento diferenciado, inclusive tarifário, aos usuários de uma mesma classe de consumo e nas mesmas condições de atendimento, exceto nos casos previstos na legislação federal, estadual e regulamento da CORSAN.
Subcláusula Única – Será vedada a concessão de isenção de pagamento de tarifas, inclusive a entes do Poder Público, visando garantir a manutenção da adequada prestação dos serviços e tratamento isonômico aos usuários do Sistema.
CLÁUSULA DÉCIMA NONA - Ressalvados os impostos incidentes sobre a renda, a criação, a alteração ou a extinção de quaisquer tributos ou encargos legais, após a assinatura deste Contrato, quando comprovado seu impacto, implicará na revisão das tarifas, para mais ou para menos, conforme o caso.
DOS DIREITOS, GARANTIAS E OBRIGAÇÕES DO MUNICÍPIO
DAS OBRIGAÇÕES DO MUNICÍPIO
CLÁUSULA VIGÉSIMA – O MUNICÍPIO tem as seguintes obrigações:
I - regulamentar a prestação do serviço;
II - fiscalizar permanentemente a prestação dos serviços;
III - aplicar as penalidades regulamentares e contratuais;
IV - homologar reajustes e proceder à revisão das tarifas na forma da lei, das normas pertinentes e deste contrato;
V - cumprir e fazer cumprir as disposições regulamentares do serviço e as cláusulas contratuais;
VI - zelar pela boa qualidade do serviço, receber, apurar e solucionar queixas e reclamações dos usuários, que serão cientificados, em até trinta dias, das providências tomadas;
VII - declarar de utilidade pública os bens necessários à execução do serviço ou obra pública, outorgando poderes à CORSAN para promoção das desapropriações e para a instituição das servidões administrativas, a qual assumirá a responsabilidade pelas indenizações cabíveis;
VIII - estimular o aumento da qualidade e produtividade dos serviços;
IX - estimular a formação de associações de usuários para defesa de interesses relativos ao serviços;
X – arcar com os custos necessários para a mudança de alinhamentos, perfis e nivelamento de qualquer logradouro, que exijam modificações ou remoções de canalizações, desde que não previstos nos cronogramas referidos na cláusula quarta, quando forem executados por sua solicitação;
XI - consultar a CORSAN sobre a viabilidade técnica da disponibilização dos serviços, antes de aprovar novos loteamentos, conjuntos habitacionais e instalações de novas indústrias;
XII - comunicar previamente a CORSAN a execução de obras e serviços no subsolo das vias públicas em que se localizam redes de infra-estrutura dos serviços concedidos;
XIII – zelar pelo cumprimento da legislação federal, estadual e municipal de proteção ambiental e de saúde pública, respondendo pelas eventuais conseqüências de seu descumprimento, no que couber, visando à preservação e a conservação do meio-ambiente e da saúde pública;
XIV – zelar pelo cumprimento da legislação vigente relacionada à vedação do aproveitamento de fontes alternativas de água, contribuindo com a vigilância sanitária na área da prestação dos serviços, nos termos dos artigos 96 e 104 do Decreto nº 23.430/74, que regulamentou a Lei Estadual n.º 6.503/72;
XV – exigir a ligação obrigatória de toda construção e prédios considerados habitáveis, situados em logradouros que disponham dos serviços, às redes públicas de abastecimento de água e de coleta de esgoto, excetuando-se da obrigatoriedade prevista apenas as situações de impossibilidade técnica, que deverão ser justificadas perante os órgãos competentes, sendo que as ligações correrão às expensas dos usuários, nos termos da legislação municipal, do art. 18, da Lei Estadual n.º 6.503/72, e do art. 137, da Lei Estadual nº 11.520/00;
XVI – exigir ou promover, consultada a CORSAN, a adequação da infra-estrutura dos loteamentos, não autorizados ou irregulares, as condições técnicas e operacionais apropriadas para a integração ao Sistema, nos termos do que estabelece o contrato;
XVII - exigir ou promover, consultada a CORSAN, a adequação da infra-estrutura das áreas de assentamentos informais às condições técnicas e operacionais apropriadas para a integração ao Sistema, nos termos do que estabelece este contrato;
XVIII – estabelecer os planos e políticas municipais de saneamento e de urbanização, consultada a CORSAN, visando ao estabelecimento das Metas de Investimentos de Longo Prazo.
DOS DIREITOS E GARANTIAS DO MUNICÍPIO
CLÁUSULA VIGÉSIMA PRIMEIRA – Ao MUNICÍPIO são assegurados os seguintes direitos e garantias:
I – estabelecer, juntamente com a CORSAN as prioridades, os objetivos e as condições para a prestação dos serviços, considerando as Metas de Longo Prazo para Investimentos;
II – receber da CORSAN a prestação de serviços adequados nos termos deste contrato e da legislação aplicável;
III – a realização, pela CORSAN, dos investimentos necessários à expansão e modernização dos serviços, dos equipamentos e das instalações, nos termos previstos nas Metas de Longo Prazo de Investimentos;
IV – conhecer, prévia e expressamente, as obras que a CORSAN pretenda executar em vias e logradouros públicos, ressalvados os casos de emergência, nos termos do regulamento específico;
V – estar isenta de qualquer ônus de solidariedade com a CORSAN no caso de falta ou insuficiência de sinalização nas obras por ela realizadas nas vias públicas, durante toda a execução das mesmas;
VI – receber, da CORSAN, no primeiro trimestre de cada ano, prestação de contas na forma da cláusula trigésima sexta;
VII – ser ressarcido de todos os prejuízos que lhe forem causados em decorrência da execução dos serviços, conforme processo administrativo especifico;
VIII – ter assegurada a aplicação dos recursos financeiros captados pela CORSAN ou pelo MUNICÍPIO, destinados ao Município, na rede municipal de água ou esgoto;
IX – ser informado, prévia e expressamente, pela CORSAN de qualquer operação financeira ou judicial em que faça recair garantia sobre os bens vinculados à prestação dos serviços, que possam comprometer a operacionalização e a continuidade da prestação dos serviços;
X – receber, em quaisquer dos casos de extinção do contrato, o cadastro atualizado dos usuários dos serviços de água e de esgoto e do acervo técnico da prestação dos serviços, em meio digital;
XI – ser isento de qualquer ônus de solidariedade ou subsidiariedade em relação a todas as obrigações fiscais, trabalhistas e previdenciárias, bem assim a quaisquer outras obrigações relacionadas ou decorrentes da exploração dos serviços;
XII – ter livre acesso dos encarregados da fiscalização do MUNICÍPIO e da AGERGS, especialmente designados, em qualquer época, às obras, equipamentos e instalações utilizados na prestação dos serviços, bem como aos dados e registros administrativos, contábeis, técnicos, econômicos e financeiros realizados pela CORSAN, relativos ou pertinentes ao contrato;
XIII – aplicar as penalidades previstas neste contrato;
XIV – receber os bens reversíveis, nos termos deste contrato, em quaisquer das hipóteses de extinção do Contrato de Programa, conforme subcláusula quarta, cláusula trigésima.
DOS DIREITOS,GARANTIAS E OBRIGACOES DA CORSAN
OBRIGAÇÕES DA CORSAN
CLÁUSULA VIGÉSIMA SEGUNDA - A CORSAN se obriga a:
I – elaborar e executar direta ou indiretamente, estudos, projetos e obras, obedecendo às prioridades, os objetivos e as condições estabelecidas neste contrato e no Plano Plurianual de Investimentos do Sistema;
II - garantir a prestação de serviços adequados nos termos deste contrato e da legislação aplicável;
III - dar ciência prévia e expressa ao MUNICÍPIO das obras que pretenda executar em vias e logradouros públicos, ressalvados os casos de emergência, nos termos do regulamento específico;
IV - sinalizar as obras nas vias públicas durante toda a sua execução, sendo que qualquer dano causado a terceiro, em virtude de falta ou insuficiência de sinalização serão da inteira responsabilidade da CORSAN;
V – apresentar ao MUNICÍPIO, no primeiro trimestre de cada ano, prestação de contas na forma da cláusula trigésima sexta;
VI - publicar, anualmente, as demonstrações financeiras referentes ao Sistema na forma da legislação específica;
VII – a execução do serviço, cabendo-lhe responder por todos os prejuízos causados ao MUNICÍPIO, aos usuários ou a terceiros, sem que a fiscalização exercida pelo MUNICÍPIO, ou a quem este delegar, exclua ou atenue essa responsabilidade, exceto nos casos legais;
VIII - cumprir e fazer cumprir as normas do serviço, as cláusulas contratuais e a legislação relativa à prestação dos serviços;
IX - captar, aplicar e gerir os recursos financeiros necessários à prestação do serviço;
X - organizar e manter registro e inventário dos bens vinculados à prestação dos serviços e zelar pela sua integridade, segurando-os adequadamente, e informar o MUNICÍPIO, prévia e expressamente, de qualquer operação financeira ou judicial em que faça recair garantia sobre os bens vinculados aos serviços, que possam comprometer a operacionalização e a continuidade da sua prestação;
XI – organizar e manter, permanentemente atualizado, o cadastro dos respectivos usuários;
XII - cumprir e fazer cumprir as normas legais e regulamentares do serviço, respondendo pelos eventuais danos causados em decorrência da prestação dos serviços;
XIII - atender a todas as obrigações de natureza fiscal, trabalhista e previdenciária e encargos decorrentes das obrigações relacionadas à prestação dos serviços;
XIV - permitir aos encarregados da fiscalização do MUNICÍPIO e da AGERGS, especialmente designados, livre acesso, em qualquer época, às obras, equipamentos e instalações utilizados na prestação dos serviços, bem como a seus dados e registros administrativos, contábeis, técnicos, econômicos e financeiros;
XV - zelar pelo cumprimento da legislação federal, estadual e municipal, de proteção ambiental e de saúde pública, em especial, respondendo pelas eventuais conseqüências de seu descumprimento;
XVI - expedir os regulamentos de instalações prediais e/ou condominiais de água e de esgotamento sanitário, inclusive os de tratamento do tipo fossa séptica e poço sumidouro, fossa e filtro biológico ou dispositivos equivalentes submetendo-os à aprovação do MUNICÍPIO;
XVII – Encaminhar o Plano Plurianual de Investimentos, previsto na cláusula oitava, à AGERGS e disponibilizá-lo ao MUNICÍPIO.
CLÁUSULA VIGÉSIMA TERCEIRA - A CORSAN deverá manter, gratuitamente, serviço de atendimento aos usuários para registro protocolado das suas solicitações, sugestões e reclamações, bem como das soluções e respostas apresentadas, de acordo com os prazos legais e regulamentares, devendo sempre fornecer ao usuário protocolo comprobatório da comunicação, com os correspondentes dia e horário.
DOS DIREITOS E GARANTIAS DA CORSAN
CLÁUSULA VIGÉSIMA QUARTA - Na exploração do Serviço de Abastecimento de Água e Esgotamento Sanitário, a CORSAN poderá:
I - utilizar-se de vias públicas, estradas, caminhos e terrenos de domínio municipal, para o fim específico de execução do objeto do presente Contrato, competindo ao MUNICÍPIO, observando e respeitando o objeto deste contrato, estabelecer as condições de sua utilização, bem como a sujeição das obras aos regulamentos específicos vigentes no Município;
II - suspender o abastecimento de água de usuários inadimplentes, exceto nos casos de grave risco a saúde das pessoas devidamente justificados, observado o Regulamento dos Serviços de Água e Esgoto e as disposições do Código de Defesa do Consumidor;
III - aplicar os regulamentos de instalações prediais e/ou condominiais de água e de esgotamento sanitário, inclusive os de tratamento do tipo fossa séptica e poço sumidouro, fossa e filtro biológico ou dispositivos equivalentes submetendo-os à aprovação do MUNICÍPIO;
IV - aplicar o disposto no Regulamento dos Serviços de Água e Esgoto;
V - nos contratos de financiamento, poderá oferecer em garantia os direitos emergentes do Sistema, até o limite que não comprometa a operacionalização e a continuidade da prestação do serviço.
CLÁUSULA VIGÉSIMA QUINTA - Sem prejuízo das responsabilidades referidas neste Contrato, a CORSAN poderá contratar terceiros para o desenvolvimento de atividades inerentes, acessórias ou complementares ao serviço concedido, bem como a implementação de projetos associados.
Subcláusula Primeira - Os contratos celebrados entre a CORSAN e os terceiros reger-se-ão pelo direito privado, não se estabelecendo qualquer relação jurídica entre os terceiros e o MUNICÍPIO.
Subcláusula Segunda - A execução das atividades contratadas com terceiros pressupõe o cumprimento das normas regulamentares do serviço concedido.
DOS DIREITOS E DEVERES DOS USUÁRIOS
CLÁUSULA VIGÉSIMA SEXTA - Sem prejuízo do disposto no art. 7º, da Lei n.º 8.987/95 e do Código de Defesa do Consumidor, são direitos dos usuários:
I - receber serviço adequado;
II - receber do MUNICÍPIO e da CORSAN informações para a defesa de interesses individuais ou coletivos;
III – receber da CORSAN, dentro do mês de vencimento, o mínimo de seis datas opcionais para a escolha do dia de vencimento de seus débitos;
IV – atendimento, pela CORSAN, dos pedidos de seu interesse, nos prazos e condições fixados neste contrato e nas normas e regulamentos editados pelo MUNICÍPIO, sendo-lhe garantida a prestação do serviço, independentemente do pagamento de valores não previstos nas normas do serviço ou de débito não imputável ao solicitante;
V - receber o ressarcimento dos danos que, porventura, lhe sejam comprovadamente causados em função do serviço concedido, ressalvados os danos decorrentes de:
a) deficiências técnicas nas instalações internas da unidade consumidora;
b) má utilização das instalações;
c) caso fortuito ou força maior.
CLÁUSULA VIGÉSIMA SÉTIMA - Sem prejuízo do disposto no Código de Defesa do Consumidor, são deveres dos usuários:
I - levar ao conhecimento do MUNICÍPIO e da CORSAN as irregularidades de que tenham conhecimento, referentes ao serviço prestado;
II - comunicar às autoridades competentes os atos ilícitos praticados pela CORSAN na prestação do serviço;
III - contribuir para a permanência das boas condições dos bens públicos através dos quais lhes são prestados os serviços;
IV – requerer a CORSAN a ligação de seus imóveis aos serviços, conforme determinam o art. 18, da Lei Estadual nº 6.503/72, e o art. 137, da Lei Estadual nº 11.520/00, excetuando-se da obrigatoriedade as situações de impossibilidade técnica;
V – arcar com o custo das ligações de seus prédios ao serviço;
VI - permitir o livre acesso da CORSAN para o exame das instalações hidráulico-sanitárias prediais em qualquer tempo;
Subcláusula Única – Para atendimento das solicitações de ligação aos serviços, serão verificadas as possibilidades de atendimento pela CORSAN, observadas normas e regulamentos.
DA FISCALIZAÇÃO
CLÁUSULA VIGÉSIMA OITAVA - A fiscalização periódica da execução dos serviços cabe ao MUNICÍPIO e à AGERGS, nos termos do convênio de delegação firmado com o Município, com a cooperação dos usuários, por comissão composta por representantes do MUNICÍPIO, da AGERGS, da CORSAN e dos usuários, nos termos de norma regulamentar.
Subcláusula Única - No exercício da fiscalização, a comissão referida no caput terá acesso aos dados relativos à administração, contabilidade, recursos técnicos, econômicos e financeiros da CORSAN e poderá acompanhar os serviços de controle de qualidade e a execução das obras e serviços.
DAS PENALIDADES CONTRATUAIS
CLÁUSULA VIGÉSIMA NONA - Pelo descumprimento das disposições contratuais especificadas em Regulamento próprio, a CORSAN estará sujeita às seguintes penalidades:
I - advertência para que, no prazo de 30 (trinta) dias, proceda à adequação do serviço prestado aos parâmetros definidos neste Contrato ou em instrumentos complementares;
II - em caso de inobservância da advertência, multa de até 2% (dois por cento), proporcional à gravidade da infração, sobre o valor arrecadado pela CORSAN, no Município, nos últimos 3 ( três ) meses anteriores à notificação;
III – contrapropaganda, quando a CORSAN incorrer na prática de publicidade enganosa ou abusiva, nos termos do artigo 37 e seus parágrafos do Código de Defesa do Consumidor ( Lei n.º 8.078/90 );
Subcláusula Primeira – nos casos de reincidência em mesma prática infrativa, julgada em última instância, durante o intervalo de 5 (cinco) anos, contado da data do recebimento do Termo de Notificação – TN, a penalidade a ser aplicada será de multa, observado o limite estabelecido no inciso II da Cláusula Vigésima Nona do Contrato de Programa, a ser fixada considerando-se:
I – as situações agravantes e atenuantes;
II – a extensão do dano causado ao município ou a terceiros;
III – a vantagem eventualmente auferida com a infração; e
IV – a condição econômica da infratora.
Subclásula Segunda – O Regulamento referido nesta Cláusula é parte integrante do presente instrumento.
Subcláusula Terceira - As penalidades serão aplicadas mediante procedimento administrativo previsto no regulamento, em que se assegure à parte inadimplente amplo direito de defesa e o contraditório.
Subcláusula Quarta – A CORSAN não estará sujeita às penalidades previstas no Contrato se comprovado que a não realização da obrigação específica decorreu de fato, ato ou circunstância imputada unicamente ao MUNICÍPIO ou a terceiros.
DA EXTINÇÃO DA PRESTAÇÃO DE SERVIÇOS
CLÁUSULA TRIGÉSIMA – A delegação da prestação de serviços extingue-se nos termos da Lei Federal n.º 11.107/05 e da Lei Federal n.º 8.987/95, art. 35 e parágrafos, por:
I – advento do termo contratual ou de sua prorrogação;
II - encampação;
III - acordo formal entre o MUNICÍPIO e a CORSAN;
IV - caducidade;
V - rescisão;
VI - anulação;
VII - extinção da CORSAN;
VIII – a CORSAN deixar de integrar a Administração Indireta do Estado.
Subcláusula Primeira - A extinção somente se efetivará com a conseqüente entrega ao MUNICÍPIO de todas as instalações, móveis e equipamentos relativos aos serviços, considerados como bens e direitos reversíveis da delegação.
Subcláusula Segunda - Extinta a delegação da prestação de serviços haverá a imediata assunção dos mesmos pelo MUNICÍPIO.
Subcláusula Terceira - A assunção do serviço autoriza a ocupação das instalações e a utilização, pelo MUNICÍPIO, de todos os bens reversíveis.
Subcláusula Quarta - Com a extinção da delegação da prestação de serviços, apurado o quantum indenizatório, caberá ao MUNICÍPIO indenizar à CORSAN, nos termos da lei e deste contrato.
DOS BENS QUE INTEGRAM A DELEGAÇÃO
CLÁUSULA TRIGÉSIMA PRIMEIRA – A delegação da prestação de serviços é integrada pelos bens tangíveis e intangíveis afetos à prestação dos serviços, existentes na data de assinatura deste contrato, ou que a ela venham a ser integrados, mediante prévia edição de lei específica na área da delegação dos serviços, descritos no inventário de bens, conforme Anexo III, e atualizações anuais.
Subcláusula Primeira – Na assinatura deste contrato, os bens de propriedade do MUNICÍPIO destinados à execução dos serviços, serão transferidos ao patrimônio da CORSAN, mediante prévia avaliação.
Subcláusula Segunda – Os bens deverão ser recuperados, conservados, mantidos e operados em condições normais de uso de forma que, quando revertidos ao MUNICÍPIO, se encontrem em estado normal de uso, exceto pelo desgaste natural de sua utilização.
DA REVERSÃO DOS BENS INTEGRANTES DA DELEGAÇÃO
CLÁUSULA TRIGÉSIMA SEGUNDA – A reversão dos bens far-se-á com o pagamento, pelo MUNICÍPIO, das parcelas dos investimentos vinculados aos bens adquiridos pela CORSAN, ainda não amortizados ou depreciados, observadas as respectivas competências e proporcionalidades.
Subcláusula Única - Na extinção do contrato, após o procedimento dos levantamentos e avaliações previstos na cláusula trigésima, será lavrado termo de devolução e reversão dos bens, a serem devidamente identificados.
DAS INDENIZAÇÕES DEVIDAS À CORSAN
CLÁUSULA TRIGÉSIMA TERCEIRA – Em qualquer das hipóteses de extinção da delegação da prestação dos serviços será apurado se o MUNICÍPIO deverá indenizar a CORSAN, observadas as condições estabelecidas nesta cláusula.
Subcláusula Primeira – Serão procedidos os levantamentos e avaliações necessários visando apurar os valores eventualmente devidos.
Subcláusula Segunda – Os critérios a serem utilizados como parâmetros para o cálculo da indenização, a ser elaborado por perito, serão:
I - os registros contábeis apropriados, nos quais constarão os registros dos bens e dos investimentos realizados no Sistema;
II - o valor de mercado dos bens patrimoniais, apurado através de avaliação, consideradas a depreciação ou amortização contábil e as reais condições de uso e/ou operacionalidade dos bens existentes;
III - os bens públicos móveis e imóveis destinados à execução dos serviços, existentes quando da delegação destes e transferidos à CORSAN, terão seus valores depreciados e descontados do montante apurado a título de indenização;
IV – incidência da indenização sobre as parcelas dos investimentos vinculados a bens reversíveis, ainda não depreciados, que tenham sido realizados com o objetivo de garantir a continuidade e a atualidade dos serviços concedidos;
V – não serão computados os valores referentes aos investimentos realizados pelo MUNICÍPIO, inclusive os investimentos oriundos de recursos não onerosos, por proprietários ou incorporadoras de loteamentos, conforme estabelecido no presente Contrato, a partir de sua vigência.
Subcláusula Terceira – A atualização monetária será calculada pelos mesmos índices aplicados ao reajuste tarifário.
Subcláusula Quarta – No caso de decretação da caducidade, o pagamento da indenização não será prévio, podendo este ser calculado no decurso do processo.
Subcláusula Quinta – O pagamento da indenização será parcelado em tantas vezes quantas forem necessárias para permitir o cumprimento da obrigação pelo MUNICÍPIO, segundo suas reais possibilidades financeiras, nos seguintes casos de extinção do contrato:
I - rescisão pela CORSAN;
II - por caducidade;
III - por transferência da delegação dos serviços ou do controle societário da CORSAN;
IV - por extinção da CORSAN;
V – por deixar a CORSAN de integrar a administração indireta do Estado;
VI – por anulação do Contrato.
Subcláusula Sexta – Nos demais casos de extinção previstos no caput da cláusula trigésima, a indenização será prévia.
Subcláusula Sétima – Do valor apurado, a título de eventual indenização, poderão ser descontados os créditos decorrentes de multas contratuais e danos provocados pela CORSAN, até o limite dos prejuízos causados ao MUNICÍPIO.
DOS INVESTIMENTOS E DOS RECURSOS EXTRAORDINÁRIOS
CLÁUSULA TRIGÉSIMA QUARTA - Quaisquer valores ou bens que entidades públicas ou privadas, nacionais ou internacionais, destinarem ao Município para aplicação nos serviços, objeto deste contrato, poderão ser recebidos diretamente pela CORSAN, nos termos da Lei.
Subcláusula Primeira – Os investimentos realizados pelas partes contratantes serão contabilizados em favor de quem suportou seu pagamento.
Subcláusula Segunda – Os investimentos realizados com recursos não onerosos obtidos pelos contratantes não serão remunerados.
CLÁUSULA TRIGÉSIMA QUINTA – Caberá aos proprietários ou incorporadores a execução dos projetos e obras dos serviços de abastecimento de água e esgotamento sanitário dos loteamentos particulares, nos termos da Lei Federal nº 6.766, de 19 de dezembro de 1979, sendo que a ligação destas infra-estruturas à rede é condicionada a sua prévia entrega à CORSAN.
Subcláusula Primeira - Os projetos referidos no “caput” deverão ter aprovação da CORSAN, a quem fica atribuída, conseqüentemente, a fiscalização da execução das obras.
Subcláusula Segunda - Os serviços de abastecimento de água e esgotamento sanitário referidos nesta cláusula não serão considerados como investimentos para fins de remuneração e indenização.
DA PRESTAÇÃO DE CONTAS
CLÁUSULA TRIGÉSIMA SEXTA – Anualmente, até o final do terceiro mês do exercício civil, a CORSAN prestará contas ao MUNICÍPIO e à AGERGS da gestão dos serviços concedidos, mediante apresentação de:
I - relatórios, expedidos na forma a ser estabelecida pela AGERGS e segundo as prescrições legais e regulamentares específicas, relativos:
a) à execução dos estudos, projetos e obras previstos no Plano Plurianual de Investimentos no Sistema;
b) ao Desempenho Operacional da delegação que contenha informações específicas sobre os níveis de regularidade, continuidade, eficiência, segurança, atualidade, generalidade, cortesia na prestação dos serviços e modicidade das tarifas, ao registro e inventário dos bens vinculados à prestação dos serviços;
c) ao registro e inventário dos bens vinculados à prestação dos serviços;
d) ao desempenho operacional, econômico e financeiro.
II – demonstrações financeiras do Sistema e as individualizadas em nome do MUNICÍPIO;
III – demonstrativo da aplicação dos recursos financeiros captados pela CORSAN ou pela Administração Municipal, vinculados ao Município.
DA SOLUÇÃO AMIGÁVEL DAS DIVERGÊNCIAS CONTRATUAIS
CLÁUSULA TRIGÉSIMA SÉTIMA – A solução amigável das eventuais divergências entre as partes, relativamente à aplicação das disposições deste contrato, será mediada pela AGERGS.
DAS DISPOSIÇÕES TRANSITÓRIAS
CLÁUSULA TRIGÉSIMA OITAVA - O índice setorial de reajuste deverá ser estabelecido em conjunto entre as partes, sendo que, enquanto o índice setorial não for definido, os reajustes serão concedidos pela variação do IGP-M, calculado pela Fundação Getúlio Vargas ou outro índice que vier a substituí-lo, apurado em relação ao período anual de maio a abril.
Subcláusula Primeira - Na hipótese do IGP-M ser definitivamente extinto, a AGERGS e a CORSAN, de comum acordo, devem escolher outro índice que retrate a variação dos preços dos principais componentes de custos.
CLÁUSULA TRIGÉSIMA NONA – A primeira revisão dos valores das tarifas prevista nas cláusula décima quarta e dos indicadores de qualidade prevista na cláusula décima será procedida no segundo reajuste após a conclusão dos serviços do grupo técnico criado para a definição de novo modelo de Contrato de Programa, no mês de junho.
CLÁUSULA QUADRAGÉSIMA – A CORSAN deverá apresentar juntamente com a primeira revisão dos valores das tarifas a Meta de Investimentos de Longo Prazo.
CLÁUSULA QUADRAGÉSIMA PRIMEIRA – A CORSAN deverá apresentar o primeiro inventário de bens atualizado por ocasião da segunda revisão tarifária.
Subcláusula Única – A partir desta oportunidade passarão a ser implementadas as atualizações anuais previstas na Cláusula Trigésima Primeira.
CLÁUSULA QUADRAGÉSIMA SEGUNDA – O presente Contrato poderá ser aditado, visando adequá-lo às necessidades dos serviços e atender o interesse das partes e à legislação federal, estadual e municipal incidente sobre os serviços de saneamento objeto do presente contrato.
CLÁUSULA QUADRAGÉSIMA TERCEIRA – Os Regulamentos dos Serviços de Água e Esgoto bem como as metas dos Indicadores de Qualidade serão definidas pelas partes e aprovadas por Resolução da AGERGS até dezembro de 2007, após consulta aos usuários voluntários.
Subcláusula Única – Até a edição dos instrumentos previstos nesta cláusula serão aplicados o Regulamento dos Serviços da CORSAN e o Decreto Federal 2.181/1997.
CLÁUSULA QUADRAGÉSIMA QUARTA - Fica eleito o foro da Comarca do Município de AGUDO para dirimir quaisquer questões oriundas do presente Contrato.
E, por estarem justas e contratadas, as partes assinam o presente instrumento, em três vias, de igual teor e forma, na presença de duas testemunhas.
Agudo, __ de ____________ de 2007.
| MÁRIO RACHE FREITAS Diretor Presidente | ARI ALVES DA ANUNCIAÇÃO Prefeito Municipal |
ALFREDO ARTHUR DORN
Diretor de Operações
TESTEMUNHAS
| 1 – | 2- |
ANEXO I
INDICADORES DE DESEMPENHO – AGERGS
INDICADORES DE DESEMPENHO – AGERGS
Os indicadores de desempenho serão agrupados conforme a seguir:
1. Indicadores de Universalização dos Serviços
2. Indicadores de Continuidade dos Serviços
3. Indicadores de Qualidade dos Serviços e dos Produtos
4. Indicadores de Qualidade Comercial
5. Indicadores Econômico-Financeiros
6. Indicadores de Produtividade.
CONCEITOS E EXPRESSÕES DE CÁLCULO
1. UNIVERSALIZAÇÃO DOS SERVIÇOS
1.1 NUA - NÍVEL DE UNIVERSALIZAÇÃO DOS SERVIÇOS DE ÁGUA
1. Indicadores de Universalização dos Serviços
2. Indicadores de Continuidade dos Serviços
3. Indicadores de Qualidade dos Serviços e dos Produtos
4. Indicadores de Qualidade Comercial
5. Indicadores Econômico-Financeiros
6. Indicadores de Produtividade.
CONCEITOS E EXPRESSÕES DE CÁLCULO
1. UNIVERSALIZAÇÃO DOS SERVIÇOS
1.1 NUA - NÍVEL DE UNIVERSALIZAÇÃO DOS SERVIÇOS DE ÁGUA

Sendo:
PA = População abastecida. É o valor do produto da quantidade de economias residenciais de água, no último mês do ano, pela taxa média de habitantes por domicílio dos municípios com contrato de concessão
PT = População urbana total dos municípios com contrato de concessão
1.2 NUE - NÍVEL DE UNIVERSALIZAÇÃO DOS SERVIÇOS DE ESGOTAMENTO SANITÁRIO
PA = População abastecida. É o valor do produto da quantidade de economias residenciais de água, no último mês do ano, pela taxa média de habitantes por domicílio dos municípios com contrato de concessão
PT = População urbana total dos municípios com contrato de concessão
1.2 NUE - NÍVEL DE UNIVERSALIZAÇÃO DOS SERVIÇOS DE ESGOTAMENTO SANITÁRIO

Sendo:
PS = População servida. É o valor do produto da quantidade de economias residenciais de esgoto, no último mês do ano, pela taxa média de habitantes por domicílio dos municípios com contrato de concessão
PT = População urbana total dos municípios com contrato de concessão.
2. INDICADORES DE CONTINUIDADE DOS SERVIÇOS
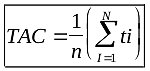
2.1 TAC - TEMPO MÉDIO DE ATENDIMENTO AO CLIENTE QUANDO DA FALTA DE ÅGUA
PT = População urbana total dos municípios com contrato de concessão.
2. INDICADORES DE CONTINUIDADE DOS SERVIÇOS
2.1 TAC - TEMPO MÉDIO DE ATENDIMENTO AO CLIENTE QUANDO DA FALTA DE ÅGUA

Sendo:
Eco. Atingidas (i) = Número de economias abrangidas pela i-ésima falha no sistema de fornecimento de água no conjunto e no período
T (i) = Tempo decorrido entre a detecção da i-ésima falha pela CORSAN e o efetivo reparo da falha
n = Número total de interrupção no fornecimento de água do conjunto no período
Eco. Total = Número total de economias do conjunto considerado
2.3 NRP - ÍNDICE DE RECLAMAÇÕES PROCEDENTES POR FALTA DE ÁGUA POR 1.000 ECONOMIAS
Eco. Atingidas (i) = Número de economias abrangidas pela i-ésima falha no sistema de fornecimento de água no conjunto e no período
T (i) = Tempo decorrido entre a detecção da i-ésima falha pela CORSAN e o efetivo reparo da falha
n = Número total de interrupção no fornecimento de água do conjunto no período
Eco. Total = Número total de economias do conjunto considerado
2.3 NRP - ÍNDICE DE RECLAMAÇÕES PROCEDENTES POR FALTA DE ÁGUA POR 1.000 ECONOMIAS

Sendo:
N = Nota média do parâmetro no período
p = Peso atribuído ao i-ésimo parâmetro
Para N deverão ser considerados os seguintes parâmetros e para p os seguintes índices: parâmetro (peso) coliformes totais (0,30); cloro livre residual (0,20); turbidez (0,15); fluoretos (0,15) cor (0,10) e pH (0,10)
4. QUALIDADE COMERCIAL
4.1 QF – QUALIDADE DE FATURAMENTO
N = Nota média do parâmetro no período
p = Peso atribuído ao i-ésimo parâmetro
Para N deverão ser considerados os seguintes parâmetros e para p os seguintes índices: parâmetro (peso) coliformes totais (0,30); cloro livre residual (0,20); turbidez (0,15); fluoretos (0,15) cor (0,10) e pH (0,10)
4. QUALIDADE COMERCIAL
4.1 QF – QUALIDADE DE FATURAMENTO

Sendo:
EA = Número de economias com água
EE = Número de economias com esgotamento sanitário
NE = Número total de empregados da empresa
EA = Número de economias com água
EE = Número de economias com esgotamento sanitário
NE = Número total de empregados da empresa
ANEXO II
ESTRUTURA TARIFÁRIA
| TARIFA | CATEGORIA | PREÇO BASE | SERVIÇO BÁSICO | TARIFA COMPOSTA MÍNIMA |
| SOCIAL | BP Bica Pública | 1,31 | 5,20 | 18,30 |
| Res A e A1 (Imóveis c/ até 60m2 de área construída) até 10m3 | 1,11 | 5,20 | 16,30 | |
| m3 excedente | 2,74 | |||
BÁSICA | Residencial B (Imóveis com mais de 60m2) | 2,74 | 12,98 | 40,38 |
| EMPRESARIAL | COMERCIAL C1 Comércio até 100m2 até 10 m3 | 2,74 | 12,98 | 40,38 |
| m3 excedente | 3,12 | |||
| COMERCIAL Grande Comércio | 3,12 | 23,13 | 85,53 | |
| PUB Pública | 3,12 | 46,23 | 108,63 | |
| PUB Municipal até 10 m3 | 1,25 | 18,49 | 30,99 | |
| m³ excedente | 3,12 | |||
| IND Industriais | 3,54 | 46,23 | 163,84 |
Observações:
• O Preço Base do m³ é variável aplicando-se a Tabela de Exponenciais.
• Fórmula Preço Base x Consumo acrescido dos custos do Serviço Básico.
• Nas categorias Sociais cujo consumo exceder a 10 m³, o Preço Base do excedente será calculado de acordo com o Preço Base da categoria RB
• O Esgoto será cobrado a razão de 70% do valor do m³ de consumo ou do volume mínimo da categoria de uso.
Que entre si celebram o município de Agudo e a Agência Estadual de Regulação dos Serviços Públicos Delegados do Rio Grande do Sul - AGERGS, na forma abaixo:
O Município de AGUDO, com sede à Av.Tiradentes, nº 1625, CNPJ nº 87.531.976/0001-79, representado pelo seu Prefeito ARI ALVES DA ANUNCIAÇÃO, portador da Carteira de Identidade n.º 7036998354, CPF nº 059.899.650/87, doravante denominada simplesmente MUNICÍPIO e a AGÊNCIA ESTADUAL DE REGULAÇÃO DOS SERVIÇOS PÚBLICOS DELEGADOS DO RIO GRANDE DO SUL, com sede na Av. Borges de Medeiros, 659, 14º andar, na cidade de Porto Alegre-RS, neste ato representada por seu Conselheiro-Presidente, GUILHERME SOCIAS VILLELA, portador da Carteira de Identidade n.º ............, CPF nº ............, doravante denominada AGERGS, resolvem firmar o presente Convênio, com a interveniência da Companhia Riograndense de Saneamento - CORSAN, CNPJ n.º 92.802.784/1000-90, doravante denominada CORSAN, neste ato representada por seu Diretor-Presidente, .................., e por seu Diretor Financeiro e de Relações com Investidores, Senhor............................ .e da Federação das Associações dos Municípios do Rio Grande do Sul – FAMURS, representada pelo seu Presidente, Senhor ................. .
O presente Convênio tem seu respectivo fundamento e finalidade constante no processo administrativo n.º 502-3900/06-8, sujeitando-se os partícipes às disposições contidas na Lei n.° 8.666, de 21 de junho de 1993 e suas alterações, nos termos e condições seguintes:
DO OBJETO
CLÁUSULA PRIMEIRA - O presente convênio tem por objeto a delegação, pelo MUNICÍPIO à AGERGS, da regulação dos serviços públicos de abastecimento de água potável e de esgotamento sanitário, nos termos da Lei Estadual n.º 10.931/97, da Lei Municipal n.º......................, do presente convênio, bem como nos Planos de Trabalho ajustados anualmente entre MUNICÍPIO e AGERGS e que farão parte integrante deste instrumento.
Subcláusula Primeira - A regulação será exercida sobre os serviços públicos de abastecimento de água potável, incluindo a captação, tratamento, adução e distribuição da água e a operação dos serviços de esgotamento sanitário, incluindo a coleta, transporte, tratamento e destino final de esgoto.
Subcláusula Segunda - O desenvolvimento das atividades regulatórias por ambas as partes, será fundado nos princípios do respeito à unidade do sistema e da Companhia Riograndense de Saneamento – CORSAN, bem como na uniformidade das ações por esta desenvolvida nos municípios que delegaram à mesma a execução dos serviços referidos na subcláusula anterior.
DOS OBJETIVOS GERAIS
CLÁUSULA SEGUNDA - No escopo deste Convênio, os principais objetivos a serem atingidos são:
I - assegurar a prestação de serviços adequados, assim entendidos aqueles que satisfazem as condições de regularidade, continuidade, eficiência, segurança, atualidade, generalidade, cortesia na sua prestação e modicidade nas suas tarifas;
II - garantir a harmonia entre os interesses dos usuários, MUNICÍPIO e CORSAN ; e
III - zelar pelo equilíbrio econômico-financeiro do Sistema de abastecimento de água potável e esgotamento sanitário.
DAS ATIVIDADES REGULATÓRIAS
CLÁUSULA TERCEIRA - A AGERGS desenvolverá as atividades regulatórias nos termos de suas competências legais, previstas nas Leis Estaduais n.ºs 10.931/97 e 11.075/98, nas leis federais, estaduais e municipais supervenientes e neste Convênio.
Subcláusula Única - As seguintes atribuições do MUNICÍPIO são delegadas à AGERGS:
I - regulamentar, no âmbito das competências inerentes à regulação, o serviço delegado, sem prejuízo e com observância da legislação federal, estadual e municipal aplicável;
II - fiscalizar a prestação do serviço, nos termos definidos nos Planos de Trabalho ajustados anualmente entre as partes, que fará parte integrante do Convênio;
III – homologar, fixar, reajustar e revisar tarifas, seus valores e estruturas, na forma da lei, das normas pertinentes e do contrato de programa;
IV – cumprir e fazer cumprir as disposições regulamentares do serviço, bem como as cláusulas do contrato de programa;
V - zelar pela qualidade do serviço, na forma da lei e do contrato de programa, inclusive mediando no exame dos planos de investimentos de serviço, a serem apresentados pela CORSAN;
VI - atuar como instância recursal no que concerne à aplicação das penalidades regulamentares e contratuais por parte do Município;
VII - estimular a universalização e o aumento da qualidade e da produtividade dos serviços e a preservação do meio ambiente e dos recursos naturais, de acordo com o que for definido no Plano de Trabalho, referido no inciso II supra;
VIII - estimular a participação e organização de usuários para a defesa de interesses relativos ao serviço, de acordo com o que for definido em Plano de Trabalho, referido no inciso II supra;
IX - mediar e arbitrar, no âmbito administrativo, eventuais conflitos decorrentes da aplicação das disposições legais e contratuais;
X - homologar o contrato de programa, objetivando a delegação dos serviços públicos de abastecimento de água potável e esgoto sanitário;
XI - requisitar aos delegatários as informações necessárias ao exercício da função regulatória;
XII - elaborar estudos e projetos com vistas ao aperfeiçoamento do serviço público delegado e da busca da modicidade tarifária;
XIII - zelar pela manutenção do equilíbrio econômico financeiro do sistema.
DAS OBRIGAÇÕES DAS PARTES
CLÁUSULA QUARTA - O Município compromete-se a:
I - supervisionar, acompanhar e apoiar as atividades do presente Convênio, diligenciando para que seus objetivos sejam alcançados;
II - examinar e pronunciar-se, quando for o caso, acerca das ações a serem desenvolvidas para a consecução dos objetivos deste Convênio;
III - fornecer à AGERGS todos os documentos, informações e dados necessários à regulação nos prazos estipulados;
IV - encaminhar à AGERGS, periodicamente, relatórios de fiscalização dos serviços, conforme prazo a ser definido nos Planos de Trabalho.
CLÁUSULA QUINTA - A AGERGS compromete-se a:
I - elaborar e executar os planos de trabalho para o desenvolvimento da regulação;
II - prestar assessoria técnica para o MUNICÍPIO, nos termos previstos nos Planos de Trabalho;
III - emitir relatórios anuais sobre as atividades desenvolvidas nos Planos de Trabalho;
IV – disponibilizar os serviços de Ouvidoria na forma definida nos Planos de Trabalho.
DO VALOR
CLÁUSULA SEXTA – Os recursos necessários à execução dos serviços de regulação da AGERGS serão advindos da Taxa de Fiscalização e Controle dos Serviços Públicos Delegados – TAFIC, na forma da Lei Estadual nº 11.863/02 e Decreto Estadual nº 42.081/02, cujo pagamento é de responsabilidade da CORSAN.
DO PRAZO DE VIGÊNCIA
CLÁUSULA SÉTIMA - O presente Convênio terá duração concomitante com a vigência do contrato de programa celebrado entre o MUNICÍPIO e a CORSAN, por vinte e cinco anos, podendo ser prorrogado por igual período.
DAS DISPOSIÇÕES FINAIS
CLÁUSULA OITAVA - Este Convênio poderá ser rescindido por inadimplência de quaisquer de suas cláusulas ou condições, mediante aviso prévio de cento e oitenta dias.
CLÁUSULA NONA - Fica eleito o foro do Município de ....................., com exclusão de qualquer outro, por mais privilegiado que seja, para dirimir quaisquer dúvidas e/ou pendências oriundas da execução do presente instrumento, não solucionadas administrativamente.
Assim, por estarem justas e acordadas, as partes, por seus representantes, assinam o presente instrumento em 4 (quatro) vias, de igual teor e forma, na presença das testemunhas abaixo, para que surta os seus jurídicos e legais efeitos.
Agudo, .... de .......... de 2007.
| ARI ALVES DA ANUNCIAÇÃO Prefeito de Agudo | GUILHERME SOCIAS VILLELA Conselheiro-Presidente da AGERGS |
CORSAN | FAMURS |










